Menu Close

Mathematik für Informatiker 3 (Übung 8)

In der achten Übung habe ich 30 von 30 erreichbaren Punkten erlangt.

Skript-AnfangBlatt8 – Seite 1
Skript-EndeBlatt8 – Seite 1
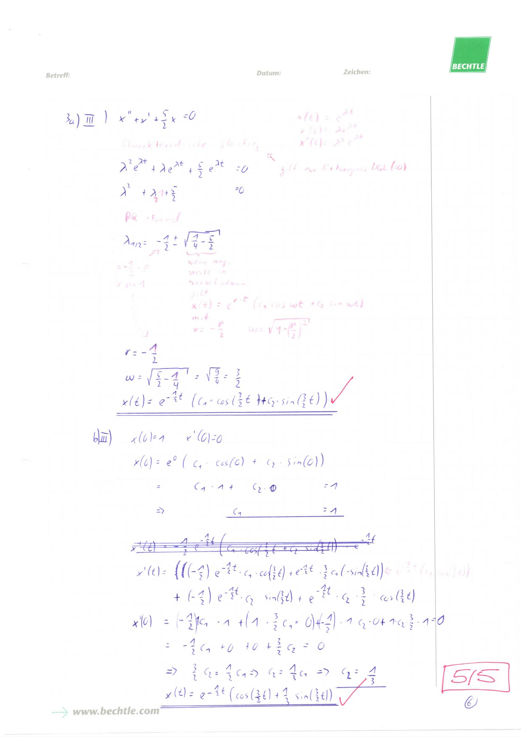
EPSON MFP image
EPSON MFP image
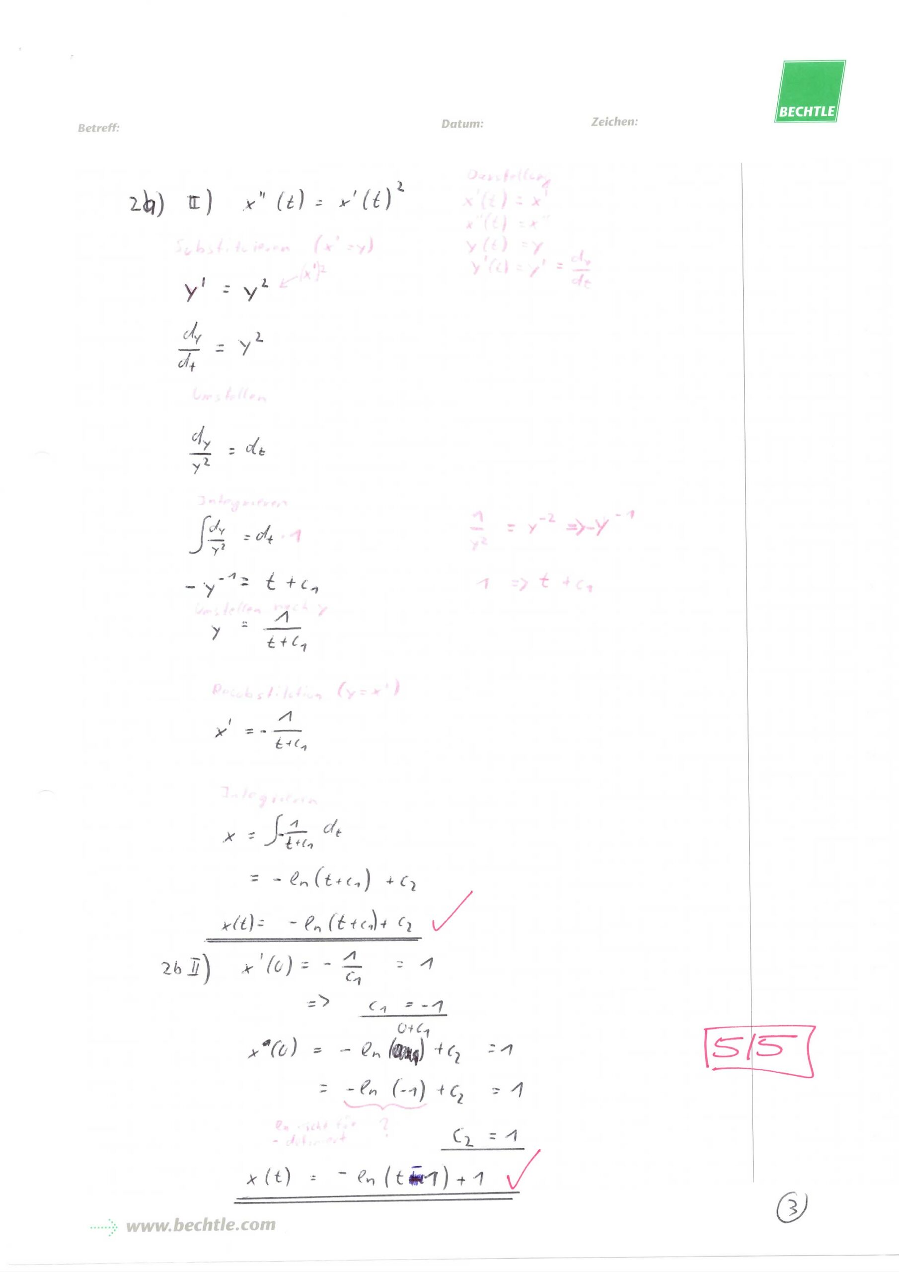
EPSON MFP image
EPSON MFP image
EPSON MFP image
EPSON MFP image
EPSON MFP image
EPSON MFP image
EPSON MFP image
EPSON MFP image
EPSON MFP image

Schreiben Sie einen Kommentar

Ihre E-Mail-Adresse wird nicht veröffentlicht. Erforderliche Felder sind mit * markiert

Diese Website verwendet Akismet, um Spam zu reduzieren. Erfahren Sie, wie Ihre Kommentardaten verarbeitet werden.