Menu Close

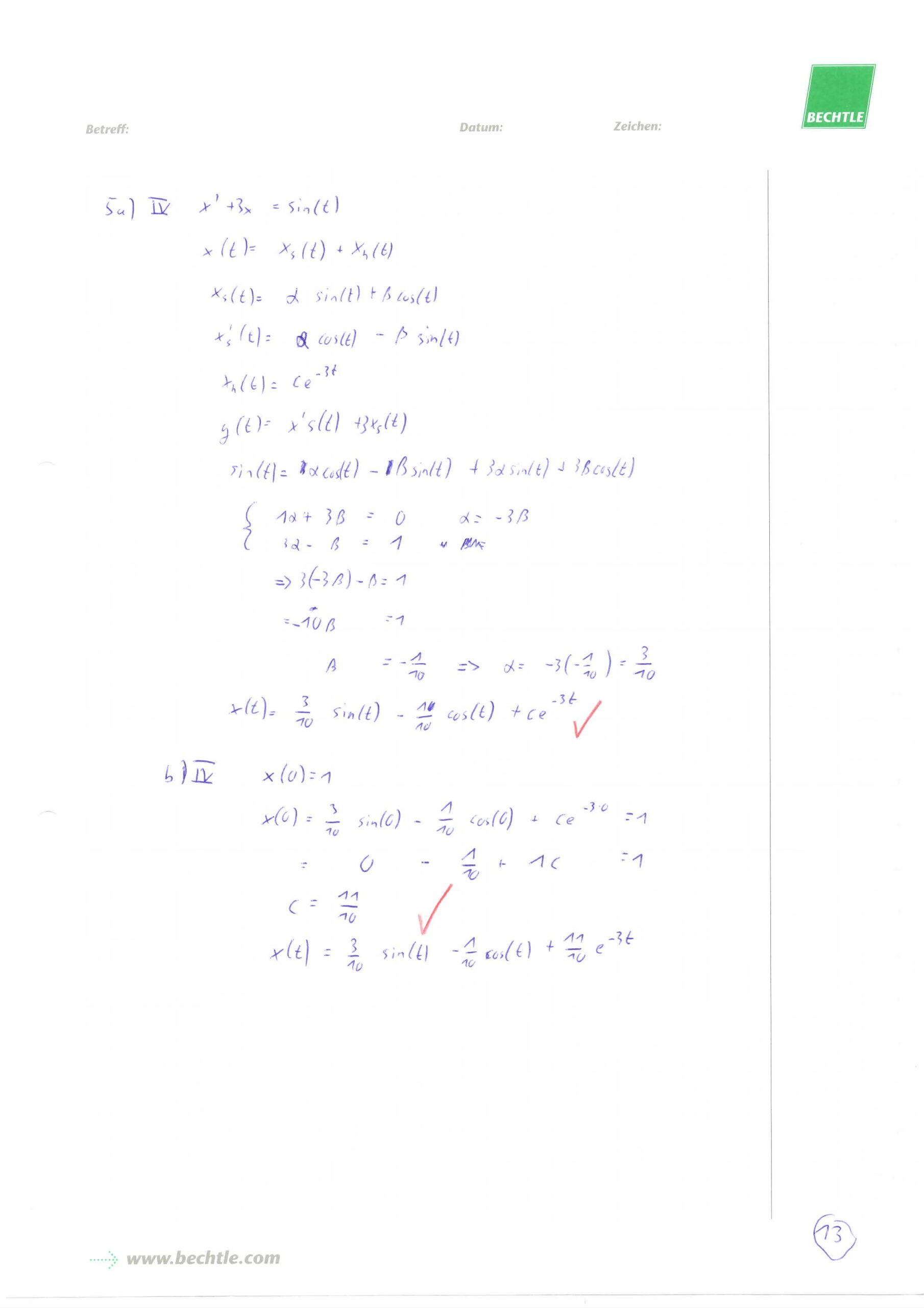
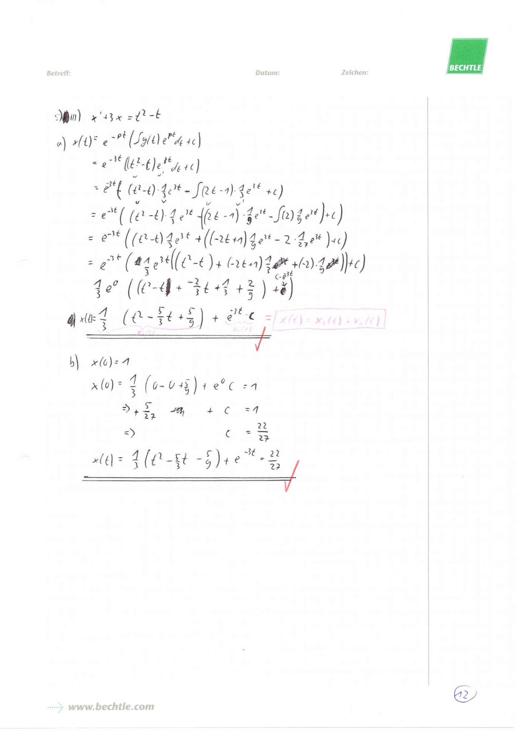
Mathematik für Informatiker 3 (Übung 7)

In der siebten Übung habe ich 19,5 von 20 erreichbaren Punkten erlangt.

Skript-AnfangBlatt7 – Seite 1
Skript-EndeBlatt7 – Seite 1

EPSON MFP image
EPSON MFP image
EPSON MFP image
EPSON MFP image
EPSON MFP image
EPSON MFP image
EPSON MFP image
EPSON MFP image
EPSON MFP image
EPSON MFP image
EPSON MFP image
EPSON MFP image
EPSON MFP image
EPSON MFP image

Schreiben Sie einen Kommentar

Ihre E-Mail-Adresse wird nicht veröffentlicht. Erforderliche Felder sind mit * markiert

Diese Website verwendet Akismet, um Spam zu reduzieren. Erfahren Sie, wie Ihre Kommentardaten verarbeitet werden.